Las empresas mantendrán la capacidad de recortar salarios y despedir al mismo precio
La contrarreforma no toca dos de los elementos troncales de la norma del PP, pero reequilibra la negociación colectiva
Casi diez años después, España dirá definitivamente adiós a la reforma laboral que aprobó el Gobierno de Mariano Rajoy de forma unilateral en el año 2012, en plena gran recesión, y que ha levantado una fuerte polvareda a lo largo de esta última década.
En realidad, la nueva norma que modernizará el mercado de trabajo no supondrá una derogación íntegra de la actual legislación laboral, tal y como había prometido el Gobierno en su acuerdo de legislatura y como demandaban los sindicatos, aunque sí elimina algunos de sus aspectos más lesivos, como recuperar la ultraactividad de los convenios para que no decaigan hasta que no se ponga en marcha otro nuevo, dar prioridad al convenio del sector sobre el de empresa en materia salarial o limitar la subcontratación para tratar de que no tengan manga ancha a la hora de devaluar los salarios de estos trabajadores (se aplicará el convenio colectivo del sector de la actividad que realicen las subcontratas).
Pero no toca los mecanismos de flexibilidad interna y externa que fueron su arteria principal y permitieron a las empresas crear empleo más fácil pero al mismo tiempo destruirlo. Así, se mantienen intactas dos de las medidas que introdujo la norma del PP y que más operaron durante la anterior crisis económica: la modificación sustancial de las condiciones de trabajo (artículo 41 del Estatuto de los Trabajadores) –que no se ha alterado puesto que era una de las líneas rojas de la CEOE–, que permitió recortar unilateralmente los salarios de los trabajadores o cambiarles sus horarios y jornadas, y la rebaja de las indemnizaciones que supuso la reforma de 2012 y que hizo viable un despido libre más barato.

Impacto de la reforma
laboral de 2012 en el
mercado de trabajo
El empleo toca máximos de la última década y el paro se ha
reducido fuertemente, pero la tasa de temporalidad sigue disparada
Evolución del empleo
Número de ocupados (en millones)
Variación
2012-2021:
+2,3
20,0
20
17,7
15
10
5
0
2012
2021
Datos del tercer trimestre
Evolución de la tasa de paro
En porcentaje
Variación
2012-2021:
-10,22%
30
24,8
25
20
14,6
15
10
5
0
2012
2021
Datos del tercer trimestre
Evolución de la tasa de temporalidad
En porcentaje
Variación
2012-2021:
+2,1%
30
25
26,0
23,9
20
15
10
5
0
2012
2021
Datos del tercer trimestre
En cifras
Entre 2012 y 2020
Se formalizaron
166,5
millones de contratos
=1 millón
91%
de carácter
temporal
Los contratos inferiores
a 7 días pasaron de...
2011
2021
3
6,1
Número de bajas en la
Seguridad Social en 2019
29
millones
=1 millón
*10 millones
más que en 2012
1 de cada 5
relaciones laborales tiene
una duración de un día
Más de un tercio
solo duran 5 días o menos
3 de cada 5
tienen una duración
de un mes o inferior
Fuente: Encuesta de Población Activa (EPA) del INE, Ministerio de Seguridad Social y SEPE.
Á.SÁNCHEZ

Impacto de la reforma laboral de 2012 en el mercado de trabajo
El empleo toca máximos de la última década
y el paro se ha reducido fuertemente, pero
la tasa de temporalidad sigue disparada
Evolución del empleo
Variación
2012-2021:
+2,3
Número de ocupados (en millones)
20,0
20
17,7
15
10
5
0
2012
2021
Datos del tercer trimestre
Evolución de la tasa de paro
Variación
2012-2021:
-10,22%
En porcentaje
30
24,8
25
20
14,6
15
10
5
0
2012
2021
Datos del tercer trimestre
Evolución de la tasa de temporalidad
Variación
2012-2021:
+2,1%
En porcentaje
30
25
26,0
23,9
20
15
10
5
0
2012
2021
Datos del tercer trimestre
EN CIFRAS
Los contratos inferiores
a 7 días pasaron de...
Entre 2012 y 2020
se formalizaron
166,5
2011
2021
3
6,1
millones de contratos
=1 millón
Número de bajas en la
Seguridad Social en 2019
29
millones
=1 millón
*10 millones
más que en 2012
1 de cada 5
relaciones laborales tiene
una duración de un día
91%
de carácter
temporal
Más de un tercio
solo duran 5 días o menos
3 de cada 5
tienen una duración
de un mes o inferior
Fuente: Encuesta de Población Activa (EPA) del INE, Ministerio de Seguridad Social y SEPE.
Á.SÁNCHEZ

Impacto de la reforma laboral de 2012
en el mercado de trabajo
El empleo toca máximos de la última década y
el paro se ha reducido fuertemente, pero la tasa
de temporalidad sigue disparada
En cifras
Entre 2012 y 2020
se formalizaron
166,5
millones de contratos
Evolución del empleo
Variación
2012-2021:
+2,3
Número de ocupados (en millones)
=1 millón
20,0
20
17,7
15
10
5
0
2012
13
14
15
16
17
18
19
20
2021
Datos del tercer trimestre
91%
Evolución de la tasa de paro
Variación
2012-2021:
-10,22%
de carácter
temporal
En porcentaje
Los contratos inferiores
a 7 días pasaron de...
30
24,8
25
2011
2021
3
6,1
20
14,6
15
Número de bajas en la
Seguridad Social en 2019
10
29
millones
5
=1 millón
0
2012
13
14
15
16
17
18
19
20
2021
Datos del tercer trimestre
*10 millones
más que en 2012
Evolución de la tasa de temporalidad
Variación
2012-2021:
+2,1%
En porcentaje
30
1 de cada 5
relaciones laborales tiene
una duración de un día
25
26,0
23,9
20
15
Más de un tercio
solo duran 5 días o menos
10
5
0
3 de cada 5
tienen una duración
de un mes o inferior
2012
13
14
15
16
17
18
19
20
2021
Datos del tercer trimestre
Á.SÁNCHEZ
Fuente: Encuesta de Población Activa (EPA) del INE, Ministerio de Seguridad Social y SEPE.
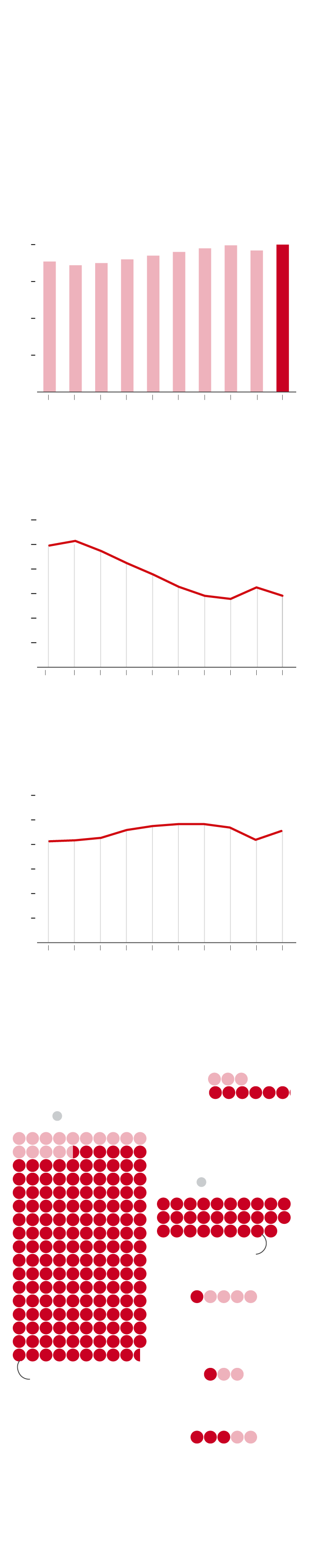
Este fue uno de los puntos fundamentales de esa ley: facilitar el despido, según denuncia CC OO en un reciente informe. Y lo hizo a través de tres vías: la primera, establecer causas muy laxas para justificarlos (basta con la disminución de los ingresos o de las ventas durante tres trimestres consecutivos); la segunda, suprimir la necesidad de autorización administrativa en los despidos colectivos; y, la tercera, abaratarlos, rebajando las indemnizaciones por despido procedente de 45 días por año a 33, y de un máximo de 42 mensualidades a 24, y por despido objetivo de 33 a 20 días por año trabajado con un máximo de doce mensualidades.
Y el otro factor sobre el que actuó la norma de 2012 fueron los salarios. Los cambios del artículo 41 permitieron que los salarios se recortaran sin grandes controles, ni resistencias y sin necesidad de rebasar los suelos establecidos por los convenios colectivos, según señala CC OO. Esto ha provocado una fuerte devaluación de las rentas de los trabajadores, hasta el punto de que el salario real por realizar el mismo trabajo estaba en 2019 un 6,2% por debajo del que se cobraba en 2008, según el Índice de Precios del Trabajo (IPT) del INE. Es decir, once años después del estallido de la burbuja inmobiliaria los salarios no han recuperado el poder de compra que tenían entonces. Hay que decir, no obstante, que esta menor poder adquisitivo se debe también a la reforma de 2010, que permitió crear comisiones 'ad hoc' en una empresa con objeto de descolgarte del convenio colectivo y poder bajar las remuneraciones. Todas estas medidas se mantiene, por lo que la nueva norma no actúa sobre la devaluación salarial, salvo que sí da prioridad al convenio del sector en esta materia.
Más flexibilidad
Cabe recordar «el contexto histórico en el que se aprueba» la reforma de 2012, tal y como advierte Valentín Bote, presidente de Randstad Research. «Atravesábamos una crisis muy profunda, que provocó una destrucción de empleo muy intensa», apunta. Bote considera que «con la reforma se introdujeron otras alternativas al despido, que hasta ese momento era la única medida de flexibilidad que tenían las empresas, lo que ha permitido en esta crisis actual salvar muchos empleos».
En realidad, es harto difícil, por no decir imposible, saber los efectos que ha tenido la reforma laboral de 2012, cuantificarlos, poner cifras y números a cuál es su influencia en temas de tal importancia como el empleo, el paro, la duración de los contratos, la evolución de los salarios o los despidos. Ya no solo por la multitud de leyes que implica, sino también porque no es posible establecer qué es consecuencia de la reforma laboral y qué del devenir del ciclo económico. Con datos en mano, España ha creado más de 2,3 millones de empleos desde el año 2012, cuando entró en vigor la reforma. Y los expertos consideran que en torno a un tercio de todo el empleo creado durante la recuperación de la pasada crisis es consecuencia de la nueva norma, en parte motivado por esa moderación salarial.
En la otra cara de la moneda, el paro se ha reducido significativamente. Bien es verdad que tras la aprobación de la reforma de 2012 continuó su escalada ascendente y tocó máximos en 2013, con más de seis millones de parados, pero desde entonces cayó en picado y la cifra actual es 3,4 millones, 2,4 millones menos desde el año 2012. De igual manera, la tasa de desempleo ha caído en más de 10 puntos hasta el 14,6% actual. Se trata de una cifra inferior a la estimada para una época de crisis pandémica, en la que hace poco más de un año se destruyeron de golpe y porrazo un millón de empleos debido al coronavirus. Y esto es un triunfo de esa herramienta que ha sido todo un éxito como son los ERTE, un mecanismo que se introdujo en la norma de 2012 y que se ha adaptado a estos tiempos de pandemia. Ahora además la nueva reforma laboral los potencia y actualiza para que se conviertan en la alternativa al despido, ya no solo en momentos de crisis sino ante cambios en el sector o bajas demandas puntuales, lo que puede frenar mucho la sangría de empleos habituales en España ante recesiones.
Menos despidos
Se potenciarán los ERTE como alternativa al despido al adaptarlosa crisis sectoriales
Menos temporalidad
La nueva norma elimina el contrato por obra y servicio y crea un contrato fijo para la construcción
Y el otro gran problema estructural del mercado de trabajo español es su elevada temporalidad, un 26%, la más alta de Europa. Y no solo eso, sino con una rotación laboral insoportable: uno de cada cinco contratos tiene una duración de un solo día. Un mal que ninguna de las últimas ocho reformas laborales ha sido capaz de atajar. Y aquí sí pretende actuar con eficacia la nueva norma, que reduce los tipos de contratos, los limita en el tiempo y elimina el contrato por obra y servicio, al tiempo que crea otro para la construcción de carácter indefinido. Algo que previsiblemente recortará varios puntos la tasa de temporalidad.